螺栓连接计算案例和kisssoft校核 一
1 计算输入
一液压油缸,油压 P=1.6Mpa,D=160mm,壁厚 S=10 mm 求设计上盖的螺栓连接数量和分布直径,如图所示。
2 手工螺栓选型
使用工程力学基本原理计算方法步骤如下:
1.计算螺栓工作的载荷 F1,暂取螺栓数量 z=8,则每个螺栓承受的平均轴向工作载荷为
2. 计算螺栓总的拉伸载荷 F,对于压力容器取残余预紧力 F2=1.8* F1,则
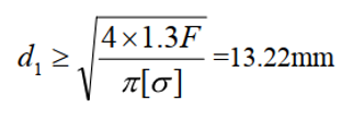
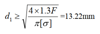
3.求螺栓直径。选取螺栓材料性能等级为 4.8 级,取安全系数 n=3,则螺栓的许用应力为
按照强度公式计算螺栓的小径
查表 M16 螺栓小径 13.835,因此选用螺栓为 M16
4.设计螺栓分布圆直径 D1。以油缸外径,留出 2 倍螺栓六方长度 e 即可。
螺栓间距验证,小于 7 倍螺栓直径。
3 Kisssoft 计算校核
3.1 Kisssoft 螺栓连接的计算逻辑
3.2 kisssoft 负载选项卡
3.3 Kisssoft 螺栓/螺母型号定义
3.4 Kisssoft被夹紧零件参数定义
3.5 Kisssoft 螺栓装配条件定义
4 Kisssoft 计算结果和报告
4.1 Kisssoft 计算报告 - 根据最小所需装配预紧力 FM min的计算结果:
4.2 Kisssoft 计算报告 - 根据装配过程中产生的最大预紧力FM max的计算结果:
4.3 Kisssoft 计算报告 - 安全系数校核
- 根据装配过程中产生的预紧力FM max 校核 螺栓的屈服 / 疲劳, 和 被连接表面的接触应力 安全系数
- 根据装配过程中产生的预紧力FM min 校核 被连接件的滑动安全系数










没有要显示的评论
没有要显示的评论