1.3 采埃孚ZF同轴减速器原理介绍
ZF 同轴减速器进展
采埃孚ZF 的同轴减速器不同于舍弗勒的NW方案,而是比较巧妙的差减一体方案,即没有专门的差速器机构,而是融入了行星轮系之中。
根据新闻,该款ZF减速器已经于2025年在国内量产。以下是2025年12月的新闻。
“全球首台基于行星齿轮技术方案的Indi同轴减速器产品,近日在采埃孚杭州工厂正式下线并实现批量交付。这一创新产品将搭载于中国头部汽车制造商的主流中高端电动车型(实际是搭载吉利极氪汽车),该车型首批车辆即将投放市场。此次批量交付不仅标志着采埃孚在电驱动核心部件领域的重要突破,同时也以“德国技术概念+中国自主研发”的创新模式,为采埃孚深化全球电动化战略、巩固亚太市场领先地位注入核心动能。”
新闻稿里提到的主要优点
1) 空间效率提升:相比传统减速器,体积缩减约50%,为电动车底盘布局释放更多设计自由度;
2) 重量减轻:重量降低50%,助力整车续航能力提升;
3) 传动效率优化:通过减少能量损耗,显著提升车辆动力性能与能效表现。
集成Indi减速器的三合一电驱动系统爆炸图:
ZF Indi 减速器的原理
ZF Indi同轴减速器实际上是两级的NGW行星排串联而成,一级的齿圈作为二级的太阳轮,固定二级的行星架,分别使用一级的行星架和二级的齿圈输出。这种结构原理看似简单,实际一点也不容易,要对行星轮减速器有深入的理解才能玩的转。
速比计算行星齿轮基本运动关系式
对于简单行星齿轮机构(Simple Planetary Gear Train),其基本运动关系为:
其中:
ns :太阳轮转速
nR :内齿圈转速
nPC :行星架(载体)转速
α :齿数比参数,定义为
该公式描述了在行星齿轮机构中,太阳轮、内齿圈与行星架三者之间的转速约束关系。
公式的物理意义
该公式可改写为:
从中可以看出:
1) 行星架转速是太阳轮转速与齿圈转速的齿数加权平均。
2) 当 α 较大(齿圈齿数远大于太阳轮)时,行星架转速更接近齿圈转速
3) 当 α 较小时,行星架转速更接近太阳轮转速
ZF Indi 两级减速计算
采埃孚这款减速器简单来看,是两级NGW简单行星排的串联,因此可以使用两个NGW行星排的速比计算公式联立进行计算。
第一级:
第二级:
二级太阳轮和一级齿圈共转速:
二级行星架固定,转速为0:
另外:
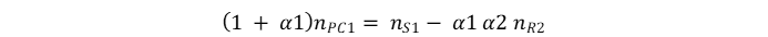
综合以上条件,可以得到:
物理意义:
这个式子本质上是一个转速平衡/分流关系:输入太阳轮转速 n_S1被分解成两部分:一部分通过一级行星架输出n_pc1,另一部分通过二级行星排 → 齿圈输出n_R2
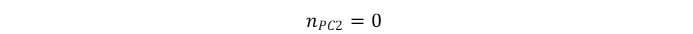
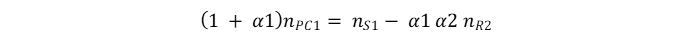
如果要作为减速器使用,那么直行情况左右车轮转速必须得相等,即n_pc1 = n_S1。那么齿比关系要满足的必要条件就是:
这个条件非常重要,是设计这款减速器的必须要满足的条件,关系到齿轮齿数的配比。
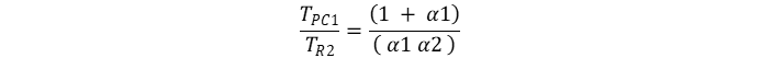
最终减速器的速比:
差速原理 - 转速差速
以下公式本身就说明 PC1 与 R2 之间存在确定的线性运动学耦合, n_PC1 与 n_R2 之间互相线性制约,但并没有被唯一确定。这正是差速机构的数学特征:一个输入 → 两个输出之间存在一条线性约束 → 输出可相对变化。
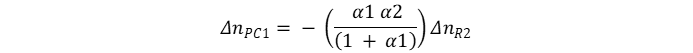
如果固定输入转速n_S1 = 常数,把总方程改写成差速形式
或写成“相对变化率”:
物理意义:R2 转速增加,PC1 必然按比例降低,比例由齿数参数决定。由前述分析可知:
所以,会得到:
那就意味着一边转速的减少,等于另一边转速的增加量,这就实现了差速功能。
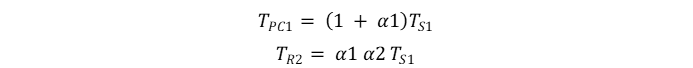
差速原理 - 扭矩均分
除了差速,还要能够实现扭矩均分
理想无损条件下的功率守恒
用转速 × 扭矩表示:
代入速度关系可得:
两个输出扭矩之比为:
这就是该机构的固有扭矩分配比。因为 1+ α1 = α1 x α2 ,所以这就说明了扭矩是均分的。
ZF Indi 减速器基本参数
下边据说是量产的这款减速器的基本参数:
|
参数 |
该款电驱系统性能 |
|||||
|
电机类型 |
|
|||||
|
冷却方式 |
|
|||||
|
电压等级 |
|
|||||
|
峰值扭矩 |
|
|||||
|
峰值功率 |
|
|||||
|
持续功率 |
|
|||||
|
持续扭矩 |
|
|||||
|
减速器主要参数 |
||||||
|
参数 |
太阳轮S1 |
行星轮P1 |
齿圈R1 |
太阳轮S2 |
行星轮P2 |
齿圈R2 |
|
齿轮旋向 |
36 |
49 |
136 |
151 |
20 |
193 |
|
齿数 |
|
|
|
|
|
|
|
速比 |
1+ 136/36+ 136/36 x 193/151 = 9.606 |
|||||
|
齿轮模数 |
|
|
|
|
|
|
|
压力角 |
|
|
|
|
|
|
|
螺旋角 |
|
|
|
|
|
|
|
中心距 |
|
|
|
|
|
|
|
齿宽 |
|
|
|
|
|
|
|
齿顶圆 |
|
|
|
|
|
|
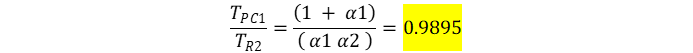
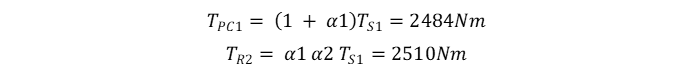
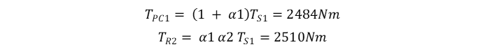
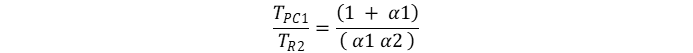
分别计算:
发现两者并不完全相等,那么左右轮的扭矩之比为:
假设输入扭矩Ts1 =520Nm,那么
左右轮的扭矩差值
这款减速器据说已经量产,反过来说明,实际应用中,可能没办法保证 和 完全相等,而是确保差值在一定范围内,进而确保左右轮端分配的扭矩和转速差控制在一定范围内。
ZF Indi 减速器实物图片





























没有要显示的评论
没有要显示的评论